Головнокомандувач Збройних сил України Валерій Залужний учора відзначав ювілей. Йому виповнилося 50 років.
Генерал народився у місті Звягель на Житомирщині. Закінчив машинобудівний технікум, Одеський інститут Сухопутних військ та за 10 років після цього – Національну академію оборони. Також має ще одну вищу освіту – заочно закінчив Острозьку академію за спеціальністю "Міжнародні відносини".
В армії почав службу на посаді командира взводу. У 2014 році Залужного призначили заступником командира сектора С на Донеччині. У 2018-у Валерій Федорович став першим заступником командувача Об'єднаних сил. Наступного року очолив Оперативне командування "Північ".
У березні 2019-го президент Володимир Зеленський присвоїв Залужному звання генерала, а за чотири місяці призначив головнокомандувачем ЗСУ.
З початком повномасштабної війни генерал Залужний проявив себе відмінним стратегом і тактиком. Іноземна преса у своїх публікаціях називає його "залізним генералом" та "новим українським отаманом".
Кореспондентка Gazeta.ua побувала у рідному місті головнокомандувача ЗСУ, щоб поспілкуватися із його друзями і однокласниками та дізнатися цікаві історії з життя Валерія Залужного.
ПОДАРУНОК ВІД ГЕНЕРАЛА
На подвірʼї гімназії №9 чути звук робочих інструментів. Заходимо на територію із заднього двору й одразу помітно - доглянуті клумби, підстрижена трава. Довкола алеї магнолій і сакур - парку біля гімназії понад 50 років. Зараз продовжують ремонтні роботи у класах і приміщеннях навчального закладу.
Фасади гімназії пофарбовані у синьо-жовті кольори. На вході зустрічає жінка за великим письмовим столом.
- Кабінет директора на другому поверсі, - пояснює, як пройти, працівниця й привітно посміхається.
У приміщенні тепло, пахне деревом і трохи фарбою. Тимчасово в коридори поставили парти й стільці. На стінах пастельного зеленого кольору розвісили фотогалерею - роботи колишнього учня, який загинув на фронті. На підвіконнях і підлозі розставили кімнатні рослини.
Деревʼяні лаковані двері відкриває молода жінка у брючному костюмі бузкового кольору. На плечі спадають довгі пасма світлого волосся. Це - директорка гімназії Лідія Хоменко. Запрошує в кабінет і відразу звертає увагу на велику картину на стіні.
- Подарунок від Валерія Федоровича на 100-річчя з дня відкриття школи, - розповідає Лідія Павлівна. На картині зображена мапа України, виконана з бурштину. - Планував приїхати, мав бути, але так склалося, що виникли інші справи. Тому передав друзями подарунок і його вручили на урочистій лінійці 1 вересня. Пишаємося таким подарунком, але мені сказали, що краще не вішати в коридорі.
ЧИТАЙТЕ ТАКОЖ: "Ми знищимо всіх, хто зі зброєю прийде на нашу землю": генералу Залужному – 50
Лідія Хоменко також навчалася у цій школі, але в роки юності Валерія Залужного була в молодших класах. Пропрацювала в закладі 21 рік, а нещодавно стала директоркою.
- Я його памʼятаю як старшого, не спілкувалися в школі. Але у них такий був клас - що всі дуже активні були й дружні, - згадує шкільні роки жінка. - То звісно, як вони старші хлопці й дівчата - то ми просто на них задивлялися. Він такий був високий, худий, з таким чубом кучерявим. Ми, молодші дівчата, задивлялися на старших, і коли я побачила його юнацькі фотографії, то його згадала.
Ніколи не порушував дисципліну, не був бунтарем
У початковій школі Валерій Федорович навчався дуже добре, переказує спогади старших вчителів Лідія Павлівна. У класі восьмому оцінки стали гірші, але за рік зміг виправитися.
- Розповідають, що був спокійним, ніколи не порушував дисципліну, не був бунтарем, - продовжує директорка. - Не проявлявся надмірною активністю, хоча не можна сказати, що був тихим і непомітним. Те, що подобалося, робив завжди добре. Ми здивувалися, коли дізналися, що став головнокомандувачем. Знали, що вже був на високій посаді. Коли у нашого попереднього директора Мельника Віктора Кузьмича був ювілей, то записав йому привітання. Коли частина вчителів, які ще його навчали, побачили на відео у формі із зірками такого мужнього чоловіка, усі були в захваті.
У липні 2021 року Валерія Залужного призначили на посаду головнокомандувача Збройних сил України. Усі пишалися ним, зізнається Хоменко.
- Учні школи знають, що генерал вчився у нашій школі. На виховних годинах завжди про це нагадуємо, розповідаємо й задаємо їм мотивацію. Одного разу приїжджав, заходили до директора. Бував у місті колись часто, однокласниця зустріла якось - сам привітався з нею.
ПРИЄМНИЙ ШОК
У невеликому кабінеті стоять книжкові полиці й шафа, стіл, заставлений канцелярією. Крізь відкриті двері на балкон віє прохолодою. З нього відкривається вид на центральний вхід, а на перилах - майорять червоні й рожеві квіти у вазонах.
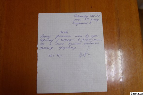
Директорка відкриває теку з документами й два листка в клітинку, відірваних із зошита. Синя ручка з часом вже поблідніла, але ще чітко можна розгледіти почерк генерала.
- У нього був один із улюблених предметів - це географія, - розповідає Хоменко. - Він склав предмет на відмінно і написав заяву на імʼя директора, щоб звільнили його від іспиту. Тобто отримав оцінку "автоматом". Досі зберігаємо цю заяву, а почерк у нього був каліграфічний - не кожна дівчина так пише. Бачте, підпис не змінився.
У Звягелі на той час було багато військових частин, тому патріотичне виховання проводили на високому рівні. Випускники школи часто вступали у військові заклади, службовці й курсанти відвідували різні заходи.
У Звягелі треба обовʼязково назвати вулицю на честь Залужного
- Це традиція, яка була закладена десятиліттями, тому це мало великий вплив на учнів, - каже Лідія Павлівна. - Завжди згадували героїв Другої світової війни. Ще тоді на честь учнів нашої школи, які воювали на фронті, називали вулиці міста. У Звягелі треба обовʼязково назвати вулицю на честь Залужного. Була б згодна, якби перейменували нашу вулицю Гоголя, де він і вчився. Валерій Федорович представлений до найвищої міської нагороди - ордена "Звягель".
На території школи планують будувати укриття, де раніше стояли старі господарські приміщення. Перед знесенням директорка зайшла туди, щоб оглянути приміщення та знайшла купу старих паперів.
- Бачу валяється якась макулатура, - згадує Лідія Павлівна. - Чомусь захотілося піти подивиться, було якесь відчуття. Іду туди - і знаходжу особову справу Валерія Залужного. Дивно, що через стільки років вона тут збереглася. Це ж треба, щоб мене як магнітом туди потягнуло.
Жінка у шифоновій блузі й джинсових бриджах тихо прочиняє двері в кабінет. Заходить всередину і вуста розпливаються в щирій посмішці, коли бачить особову справу Залужного в руках директорки. Однокласниця генерала Жанна Васянович викладає у гімназії географію. У перший клас пішли у 1980 році, згадує вчителька.
- У цій же школі у 1981-му розпочалася розбудова. Час пройшов, кабінети змінюються. Немає вже парт, за якими ми сиділи, - розказує Жанна Миколаївна. - Не всі в класі знали, як він зростав у військовій справі. Я знала, бо маму тут часто бачила, вона ділилася подіями. Перше, що нас вразило, коли йому дали генерал-майора на День Незалежності. Почали у групу скидати інформацію: "Вітаємо нашого Валєру!". А коли головнокомандувачем став - приємний шок.
ВАЖКИЙ ЖИТТЄВИЙ ЕТАП
Ще на нижчих щаблях Валерій Залужний дбав про особовий склад і підлеглих. Тому коли генералові дали одну з найвищих посад у державі, однокласники й друзі були впевнені - військо в надійних руках.
- Про те, що хотів стати військовим, уже навіть у старших класах деякі однокласники знали, - зізнається Жанна. - Так сталося, що вступив в Одесу, далеко від Звягеля. Але двічі був на зустрічі випускників, останній раз був у 2010 році. Їхав на захід в Київ і дорогою заїхав до нас на декілька годин. Признав усіх, немає такого, як людина займає високу посаду й відмовляється від знайомих - такого за ним не було. Колись була популярна мережа "Однокласники", а у нас є ті, хто живе за межами України, то відслідковував і писав: "Привіт, це Валєра. Памʼятаєш мене?".
Зараз спілкується зі шкільними друзями рідше. Але однокласники розуміють, що під час війни Залужний рідко знаходить час навіть на сон і відпочинок.
- У мене є його контакти. Іноді переписуємося, але я намагаюся зайвий раз його не турбувати, - каже Васянович. - Цього року нашій вчительці 80 було у березні, то звʼязувався з нею і вітав. Валєрі випав такий важкий життєвий етап, але я була спокійна, що все буде добре. У нього чотири вищі освіти, досвід. "Залізний генерал" - це про нього, поставив мету - і йде до неї.
Вчителька казала, що такого класу в школі більше не було
Під час навчання Валерій Федорович був завжди стриманим і спокійним. Однак брав участь у житті школи, позакласних заняттях і був одним із найкращих активістів. У класі хлопці були високі й спортивні - заглядалися усі дівчата, згадує Жанна Миколаївна.
- Ми завжди один одного підтримували. Вчителька казала, що такого класу в школі більше не було. Ніяких цькувань, усі один за одним. Ми як з пʼятого класу почали святкувати 23 лютого і 8 березня, так робили щороку. Дарували подарунки, чай, торти заказували - солодкий стіл з танцями, пластинками. Батьки не боялися давати нам будинок - то в одного, то в іншого.
Мама Валерія Залужного ніколи не пропускала батьківські збори. Однак Жанна згадує її як привітну жінку, приємну у спілкуванні. Зараз при зустрічі завжди розповідає про себе й сина, а також не забуває поцікавитись і справами інших.
- У нас був костяк активних і балакучих, Валерій трохи спокійніший був - не брав участь у конфліктах. Якщо хлопці чубилися, то не встрявав. Але старався мирними шляхами допомогти вирішити ситуацію. Анекдоти по черзі травили, якщо хтось заводив.
ЗУСТРІЧ ВИПУСКНИКІВ
До класу Залужного йдемо в кінець коридору. Сидів за четвертою партою у третьому ряду, що ближче до входу. Ступаємо обережно, бо нещодавно пофарбували підлогу. В кабінетах просторо й світло, на стінах висять навчальні плакати. Із сусіднього класу виходить вчителька у світлих джинсах і білій футболці.
- Це наша вчителька, яка нас вивозила кругом - і Київ, і Ялта, - каже Жанна й проводить у клас.
Людмила Шапран у 1987 році прийшла працювати в школу заступником директора з виховної роботи. Для класу Валерія Залужного була як другий класний керівник.
- У нас тоді були комсомольські ще часи, був у мене прапороносцем, - говорить Людмила Леонідівна й показує архівні чорно-білі фото на телефоні. - Нашу школу нагородили поїздкою в Ленінград. У поход ось їзили, а ось на фоні зимового палацу. Це були мої активісти. Весь час з вчителем фізкультури водили їх в походи. Валерій був позитивний, ніколи не вихвалявся, не презентував себе як лідера через скромність.
Важко давалася фізика й геометрія, але під час навчання в технікумі підтягнув ці предмети й закінчив навчання з "червоним" дипломом.
- Співпрацювали часто з військовими частинами. Хлопці грали з солдатами у футбол, - каже Шапран. - Водили туди на вечори, на танці. Валерій був спортивний дуже, підтягнутий, багато займався. Клас був великий, 34 учня закінчували. Мав авторитет серед однокласників, входив до комітету комсомолу школи. Цей період нашого життя стидливо замовчуємо часто, але таке було тоді у всіх. Сімʼя не була заможна, але завжди був гарно й охайно вдягнений. Принциповий був, покладався на свої сили в навчанні.
Йому першому написав, коли присвоїли генерала
- Бувало, що й на уроках списували, і у Валерія також, - зізнається Васянович. - На контрольних усі намагалися допомогти один одному - і під партою, і на руках. Директор був строгий у нас, але його всі поважали. Валерій завжди заходив до нього, коли був у Звягелі. Йому першому написав, коли присвоїли генерала.
Валерій Залужний підписаний на сторінку школи, переглядає публікації й іноді навіть ставить "лайки", кажуть педагоги. На випускному вечорі учні підготували флешмоб на підтримку генерала.
- У Звягелі всі гордяться ним, люди зустрічають на вулицях і питають, чи у нашій школі вчився. Жартувала, що будемо вже скоро автографи давати, - сміється Людмила Леонідівна. - Після перемоги - негайно в школу!
- Він обіцяв відвідати нас, то запросимо на зустріч випускників, - насамкінець додає Жанна Миколаївна.
ЗВЯГЕЛЬ
Валерій Залужний жив з родиною у невеликій квартирі, далеко від школи. Батько був військовим, мати - працювала на касі залізничного вокзалу. Зараз їхній район майже не змінився - невеликі багатоквартирні будинки із затишними двориками. Сади квітнуть трояндами, уже достигають вишні на деревах і дорогою чути запах солодкої малини.
У Звягелі проживає понад 55 тис. людей. Місто розташоване у Житомирській області, вперше згадується у джерелах 1256 року як руське місто Возвягель. У 1795 році указом Катерини II місто перейменували на Новоград-Волинський. Однак вже минулого року йому повернули історичну назву.
Раніше тут було військове містечко. Досі залишаються будинки, які звели ще до Другої світової війни. Давали квартири військовослужбовцям - з високими стелями й комфорним плануванням.
У радянські часи діяли підприємства, зокрема й оборонного значення. Більшість містян працювали там. Зараз більшість виробництв не функціонують, тому роботи не в Звягелі не так багато.
Усього в місті 11 шкіл, також є чотири вищі навчальні заклади. Працюють магазини, мережеві супермаркети й торговельні центри. На ринку продають одяг, господарчі товари, овочі та фрукти - ціни тут трохи нижчі, ніж у столиці.
ДРУЖНІЙ КЛАС
З Сергієм Степанюком, однокласником Валерія Залужного, спілкуємося по телефону. У його думках починають виринати спогади й чоловік із неприхованим захопленням розповідає про друга. Навчалися разом девʼять років, каже Сергій.
- Після школи вже бачилися на зустрічах випускників. Ми спілкувалися, але не так тісно, як у шкільні роки. Жартували, уже коли став генералом, що прилетиш до нас на вертольоті в школу. Приєднався до нас в чат. Завжди акцентував на тому, що мають на зустрічах бути вчителі. Це була родзинка вечора - купували квіти, замовляли таксі їм. Клас був дуже дружній ще з початкової школи.
У шкільні роки часто організовували різноманітні заходи. Участь брали всі, ніхто не відмовлявся, згадує Степанюк.
- У нашому класі осередок складався з відмінників і хорошистів. Тому школою заправляли не хулігани, а активісти. Передавали цей настрій дружній на рівень школи. Валерій був частиною цього життя, але у нього була своя натура - тихий, спокійний. Та він не був "тіхоня", що забився й чекає кінця навчального дня. Був самодостатній і впевнений, приймав участь у тому, що було йому справді цікаво. От у цих партійних зібраннях Валерія не цікавили грамоти чи трибуни. Усі ми були комсомольцями тоді, але партійність його не приваблювала. Погоджувався на щось тільки тоді, коли треба було допомогти людям.
На фотографіях він завжди стоїть, підставивши плече
- Звернули увагу, що на фотографіях він завжди стоїть, підставивши плече. Уже навіть був генералом. Наче підстраховує тебе, така мова тіла, - каже Сергій. - Був поряд як товариш, не привертав на себе увагу, але завжди підтримував.
Разом з однокласниками ходили у походи на кілька днів за місто. За безпекою слідкували вчителі.
- Біля річки зупинялися, з нею брали воду митися, а з джерела - питну. Приносили з собою їжу, палатки, самі готували. Що там ті діти могли наварить? Спробували - не вийшло, знову - не смачано. Дров назбирали, води наносили, цілий день бігали в футбол, то їсти ж хочеться. Валерій не цурався взяти відповідальність на себе - теж намагався щось приготувати, ніколи не відморожувався.
У класному чаті Валерій Залужний також відповідає на повідомлення. Однокласники часто вітають зі святами й пишуть слова підтримки "генералу" - так його часто називають між собою.
- Ці стосунки, які склалися майже 40 років тому, досі підтримуються. Зараз трохи перестав писати активно в чаті, але ж ми все розуміємо. 24 лютого всі вийшли на звʼязок, відписалися, чи все добре. Першого згадали Валерія, звісно, бо він для нас як точка опори. Цю людину ми знаємо, ми йому довіряємо й чіпляємося за нього, як за іскру. Тому змогли швидше повернутися в рівновагу, ніж деякі знайомі. Впевнений, що він зробить максимум і ми дійдем до перемоги. Наші знайомі дізналися, що ми його однокласники, тільки після перших публікацій. Це теж особливість класу - ми не хвастаємося, а пишаємося ним. Коли люди дізнаються, то передають привіт через мене завжди.
"ТИХА СТАЛЬ"
Сергій Степанюк науковець, працює в Інституті електрозварювання імені Євгена Патона. Останній раз з Валерієм Федоровичем спілкувався ще до зими. А влітку минулого року генерал навідувався у його інститут з офіційним візитом.
- Приїжджав з делегацією з Міністерства й Генштабу, - розказує Сергій. - Але ще не той момент був, щоб собі дозволити викроїти час. Сказали тоді, що щільний графік буде на зустрічі. Якраз ще був момент, коли росіяни розганяли фейк, що він поранений, тому дуже хвилювалися. Дружина просила вияснити, що там трапилося, вона теж наша однокласниця. Дізнався, що буде візит і приніс їй додому його фотографію, щоб заспокоїти.
Чоловік згадує, як ще в шкільні роки Залужний любив пожартувати. Не розказував сальні анекдоти, але міг сказати щось дотепно в правильний момент.
- Не був "заводілой" анекдотів, важко згадати, щоб прийшов і почав травить. Але вмів вплести жарт в ситуацію - це було його. Коли жартував, то ніхто не ображався, бо нікого не підколював. Був привабливий, але врівноважений, тому дівчата його не оминали увагою. Парубок статний - мови немає.
Сергій згадує поїздку в Ленінград, коли з Валерієм були за старших в групі. На площі до нас підійшла незнайома жінка, розповідає чоловік.
- Сказала, що з Ленфільму й хоче запропонувати роль гусарів. Ми були такі високі, спортивні, якраз підходили. Відповіли, що вже маємо повертатися додому. Пірʼя розпушили, звичайно. От зараз думаю, якби був час і ми зіграли, то може б стали акторами й доля взагалі інакше склалася.
В гості до Валерія Федоровича не ходили, бо збиралися всім класом, зазвичай, а генерал тоді жив у невеликій квартирі. Для зустрічей обирали приватні будинки, що б вмістили більше 30 чоловік.
- Він уже потім переїхав в інший район, далі від школи, але все одно продовжував ходити до нас. Наша гімназія тоді була підшефна військовій частині. Там же й проходили військові збори - в казармах, у портянках, прям в галіфе. Тоді це для нас було як кіно. Проходили курс молодого бійця, і це було, мабуть, перше знайомство Валерія з військовим життям. Два тижні прожити під муштрою, у столовій, у кирзачах - це його не відлякало. Нам було цікаво, попри мозолі на руках і ногах. Склали всі на відмінно, відслужили із задоволенням, Валерій вправно вже тоді з муштрою справлявся.
Після військових зборів у вересні Валерій Залужний вже не повернувся в 10 клас. Я думаю зараз, що якраз після зборів уже твердо вирішив, що хоче стати військовим.
- Коли вибрав свою стежину ціленаправлено, то вже пішов вчитись далі ціленаправлено. Він розкривався там, де цікаво було. Ми добре знали маму, не помічали такого, щоб сувора була до нього. Видно було, що вона мʼяка й приємна жінка - от мама для нього, а не "мать". Також кучерява, як і Валерій. Вона ніколи не червоніла на зборах за сина. Хотіли, щоб більш активно брав участь у заходах, бо там, де він був, завжди мав круті результати.
Після перемоги України чоловік хоче подякувати другу за його роботу. Це великий тягар відповідальності й втоми.
- Коли зустрінемося, то будемо дякувати й підтримувати. Йому теж треба буде видихнути й відпочити морально. Бо війна - це величезні втрати, видно, як він все сприймає близько до серця. Хочеться з ним розділити цю ношу. Його перемога вже в тому - що у нас у всіх є надія й спокій щодо подальшої долі. "Залізний генерал" - це про нього, але це така "тиха сталь". Не кипляча, без бризків - просто робить свою роботу. Завдяки йому, усі генерали й командири прекрасно себе проявляють, йому вдається їх розкрити.
ПРИВІТАННЯ ВІД ОДНОКЛАСНИКІВ
У день народження головнокомандувача публікуємо привітання від однокласників.
Дорогий наш однокласнику, Залужний Валерій Федорович!
Якщо запитати у долі, чому саме тебе вона обрала захисником і оборонцем нашої землі, то ми отримаємо пряму і чітку відповідь: ти – відважний, рішучий і впевнений, володієш арсеналом знань і вмінь, які спрямовані на знищення такого ненависного і хижого ворога. За тобою правда, за тобою сила!
Ми вдячні моменту, що певний період свого життя йшли з тобою одними стежками. Вдячні долі, що юність провели з тобою. На жаль, пам'ять поступово стирає частину спогадів, пов'язаних з тобою. Але те, що залишається, згадувати приємно і цікаво. Памʼятаємо, як сидячи з тобою за однією партою разом мудрили над складними завданнями з алгебри та хімії, як підказували один одному рядки вірша на літературі, як разом їли свіжоспечені булочки із шкільної їдальні на перерві. Або як смажили сало на вогнищі, коли ходили у похід. У ті далекі роки ніхто навіть уявити не міг, яка Велика Людина знаходиться поряд.
Від чистого серця і щирої душі вітаємо тебе з ювілеєм!!! Бажаємо найміцнішого здоров'я і безумовних успіхів!!!
Сьогодні кожен з нас на своєму місці з усіх сил допомагає тобі. Хтось вчить і виховує дітей, хтось пише пісні чи рятує людей, хтось готує смачні обіди, а хтось займається бізнесом і переказує кошти на армію. Кожна наша маленька справа вкладається у Велику Перемогу. Знаємо, що ти відчуваєш цю підтримку. І лише ти здатен нести цей невимовно важкий тягар. Боротьба йде запекла й кривава, ворог сильний і підступний. Але генерал Залужний на своєму місці і вправно робить свою роботу. І ця думка зігріває серце, додає впевненості і спокою. Ми дякуємо кожному твоєму воїнові за сміливість, витривалість, самопожертву! Дякуємо за твою титанічну працю у міжнародних відносинах. Завдяки твоїм турботам про Україну, увесь світ відгукується і допомагає зброєю, наближаючи тим самим нашу українську Перемогу. І хоч ніхто з пророків не назве нам точної дати, коли це станеться, але саме в твій ювілей ми бажаємо тобі здійснення цієї найзаповітнішої мрії кожного українця, від малого до великого, кожної цивілізованої людини планети і твоєї особистої мрії – здолати і побороти цього страшного звіра під назвою росія.
Всі українці хочуть жити в незалежній, вільній і квітучій країні. Хочуть в повній мірі розпоряджатися своїм власним життям, отримувати гарну освіту, вибудовувати свій шлях у майбутнє. Знаємо, що попереду у нас ще непрості часи, але "шлях покоряється тому, хто йде…" Дякуємо тобі, друже, за твою таку просту і гарячу відданість нашій рідній землі!
Ми, як твої однокласники, маємо сподівання, що зможемо зустрітися з тобою на нашій ювілейній зустрічі випускників. Дуже хочеться побачити відомого в усіх країнах Головнокомандувача Збройних Сил України Валерія Залужного. Хочеться особисто висловити тобі велику вдячність і потиснути твою героїчну руку.




















Коментарі