Днями з турецького порту Гіресун до кримського селища Чорноморське прибула самопідйомна плавуча бурова установка "Петро Годованець". Тепер вона знаходиться на базі буріння та облаштування "Чорноморнафтогазу". Роботу на шельфі Чорного моря "Петро Годованець" почне на початку червня. Втім, скандали та інтриги довколо неї скінчаться не скоро.
Нагадаємо, що "Петро Годованець" журналісти охрестили "Вишкою Бойка". У "Дзеркалі тижня" була оприлюднена інформація про те, що державна компанія "Чорноморнафтогаз" придбала сингапурську бурову установку за завищеною на 150 мільйонів доларів ціною. У відповідь міністр енергетики і вугільної промисловості Юрій Бойко назвав матеріал замовним і сказав, що буде просити СБУ з`ясувати, хто може бути замовником.
Американці підтвердили "легенду" "Нафтогазу"
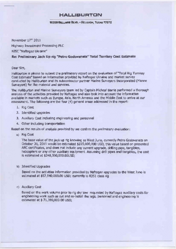
Нам вдалося отримати документ під назвою "Загальна оцінка Вартості Бурової Установки "Петро Годованець" під Ключ". Датований ще листопадом минулого року. За даними наших джерел в "Нафтогазі" загалом технічний та економічний аудит, підготовлений фахівцями Halliburton та компанії Marine Surveyors (субпідрядник проекту) – це звіт на кілька сотень сторінок, який вже є в наявності керівництва державної компанії, але тримається в режимі суворої секретності. Ані прес-служба "Нафтогазу", ані представництво Halliburton в Україні офіційно коментуватися ситуацію нам не захотіли.
Отже в звіті йдеться, що команда фахівців на чолі з капітаном Майклом Баррі аналізувала діяльність щодо закупівлі бурової установки, враховуючи інформацію на ринках Європи, Азії, Північної Америки та Близького Сходу. Чотири ключових пункти документу: власне вартість самої установки, додаткову комплектацію, інші витрати включаючи проектування та персонал, а також транспортування.
Отже базова вартість установки на жовтень минулого року складала 225 мільйонів доларів. Загалом загальну вартість з урахуванням бурильних труб і матеріальних цінностей американці визначають в 248 мільйонів.
Далі починається найцікавіше: американці аудитори чітко слідують "легенді" Нафтогазу і починають "накручувати" до вартості бурової додаткові витрати. Додаткову комплектацію оцінюють в 57,94 мільйони доларів. Додаткові витрати на інженерні роботи (вирізання і встановлення опір бурової, персонал, техніка) – більш ніж 71 мільйон, витрати на транспортування, страхування – 15 мільйонів. Halliburton та Marine Surveous виходять на цифру в 392 мільйони доларів, вказуючи, що ця оцінка не враховує витрати на інжинірингові та консалтингові послуги.
Таким чином технічний і фінансовий аудит дивним майже повністю збігається з багато раз критикованою і явно завищеною оцінкою вартості бурової – майже 400 мільйонів доларів.
Halliburton: зв'язки з республіканцями та війна в Іраку
Загалом можна сказати, що до вибору підрядника на технічний і економічний аудит бурової "Нафтогаз" підійшов значно краще аніж до самого підрядника проекту. Адже замість сумнівних "латвійців", на яких оформлено компанію Highway Investments Processing, тут йдеться про респектабельну американську корпорацію з багатомільярдною капіталізацією та майже сторічною історією. Втім є певні деталі які дозволяють дещо по іншому подивитися на співпрацю Halliburton та "Нафтогазу".
Більшості пересічних громадян назва американської компанії, на відміну від знаменитих нафтових "семи сестер" - не скаже нічого. Компанія зі штаб квартирою в Х'юстоні (штат Техас). Halliburton наразі представлена майже в 80 країнах світу, на неї працюють 70 тис. працівників, капіталізація складає майже $30 млрд. Основна спеціалізація – виробництво та продаж обладнання для буріння нафтогазових родовищ, сервісне обслуговування трубопроводів, резервуарних парків, проектування та будівництво бурових та нафтовидобувних платформ, переробних заводів.
А от поціновувачі конспірології та теорій "світової змови" говорять про Halliburton трохи з іншої точки зору. Наприклад попередній віце-президент США (в адміністрації Джорджа Буша) Дік Чейні прийшов на цю посаду прямісінько з крісла головного виконавчого директора Halliburton, яке обіймав з 1995 по 2000 рік. Чейні вважається одним з найбільш впливових віце-президентів в історії США та основним ідеологом американської доктрини "Війни з тероризмом".
Чейні для Halliburton був людиною, яка найкращим чином допомагала компанії розширити свій бізнес по всьому світу, оскільки він був знайомий з багатьма світовими лідерами, особливо в регіоні Перської затоки – найважливішому регіоні для нафтового бізнесу Halliburton.
КБР (дочірня компанія Halliburton) була основним підрядником уряду США по забезпеченню військових кампанії США Балканах, в Іраку та Афганістані, а також виконувала роботи зі спорудження та відновлення нафтогазової промисловості у таких країнах, як Азербайджан, Афганістан, Бразилія, Нігерія, Ірак, Таджикистан, Узбекистан, Кувейт, Йорданія, Грузія, Туреччина.
Особливо Halliburton уславилися за підсумками війни в Іраку, де після перемоги над Саддамом Хусейном отримала дозвіл на буріння в трьох (!) з шести нафтогазоносних районів. Окрім цього компанія була ключовим підрядником Пентагону в Іраку, та неодноразово ставала учасником скандалів через оборудки з постачанням товарів під час воєнних дій. Свого часу чи не найбільша критика "республіканців" у США була побудована як раз на аж надто тісній співпраці з техаською компанією.
Навіть сьогодні, через чотири роки після сходження Чейні з політичного Олімпу, Halliburton залишається найбільшим у світі постачальником різноманітних енергетичних послуг, зокрема, з проектування, будівництва та технічного обслуговування енергетичних об'єктів, з річним доходом близько $15 млрд., 100 000 співробітників і 7000 клієнтів у більш ніж 120 країнах.
Геополітичне прикриття?
Враховуючи не стільки економічну, скільки "геополітичну" історію Halliburton, ймовірно операція з прикриття вартості "вишки Бойка" мала для американців цілком зрозумілий мотив. Через допомогу "Нафтогазу" вони сподіваються прийняти участь в розробці Чорномрського шельфу. В документі, викладеному нижче, про це йдеться прямим текстом: "Halliburton цінує можливість надати попередній звіт і ми з нетерпінням очікуємо можливості стати діловим партнером "Нафтогазу" по розробці нафтових та газових активів в Україні…".
До речі, американці вже неодноразово намагалися узяти участь в розробці шельфу. Свого часу свої послуги пропонував світовий гігант ExxonMobil, та менш відома CBM Oil. Втім до останнього всі ці спроби були безрезультатними. Десь відчувалася інертність численних українських урядів та небажання сваритися з Росією, яка формально пропонує розробляти шельф разом. Десь брали гору приватні інтереси, як у випадку з сумнозвісною Vanco – формально теж американською структурою.

Можливо, нинішня спроба співпраці с Halliburton виявиться вдалою, оскільки тут співпадає зразу декілька факторів. По перше, українська влада приперта до стінки непоступливістю Росії в питаннях зниження цін на газ. При цьому всі інші проекти диверсифікації, на кшталт LNG терміналу виглядають занадто розтягнутими у часі.
Наприклад, колишній представник Президента Віктора Ющенка з міжнародних питань енергетичної безпеки Богдан Соколовський переконаний, що шанси України на перегляд газових контрактів "дорівнюють нулю". "Росіяни підписували угоди не для того, щоб зараз просто так, без серйозних поступок з нашого боку, відмовитися від них. Тому сподіватися, що Янукович щось вирішить – нелогічно. Першочерговим завданням влади має бути не зниження ціни, а скорочення споживання газу", – зазначив він Gazeta.ua.

По-друге, після численних звинувачень в корупції, співпраця з американцями дозволить відновити репутацію "Нафтогазу" і дасть проекту розробки шельфу геополітичне прикриття. Показовий момент відбувся днями і з іншим світовими корпораціями. Як тільки Chevron та Shell досялги згоди з урядом щодо розробки в Україні родовищ сланцевого газу, тональність американських видань щодо країни різко змінилася.
Майже всі роки незалежності Чорноморський шельф, запаси якого розроблені ледь на чотири відсотки, розглядався як чи не єдина альтернатива російському паливу. Вартість нових українських бурових, викликає багато запитань, і навряд чи американський аудит докорінно змінить громадську думку. Втім беззаперечним є і інший фактор – завдяки скандальним буровим у перспективі кількох років отримуватимемо з шельфу майже 3 мільярди кубометрів газу. В нинішніх цінах на російське паливо – це дозволить заощаджувати майже 1,2 мільярди доларів щороку.
Коментарі
4