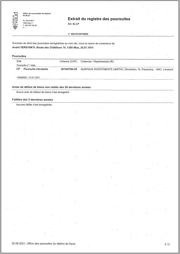
Управління з виконання боргових зобов'язань району Ньон (Швейцарія) внесло до Реєстру боргових зобов'язань кредиторські вимоги до Андрія Веревського на суму, що перевищує 26,5 млн. швейцарських франків (близько 30 млн. доларів).
Відповідно до виписки з Реєстру боргових зобов'язань (Registre des poursuites), кредиторські вимоги у сумі 26 549 500 швейцарських франків зареєстровані відповідно до ст. 8 швейцарського Федерального закону про стягнення заборгованості та банкрутство. Відповідний запис у Реєстрі зроблено за заявою № 10086900 від 15 липня 2021 року:


За повідомленням юридичних радників Валентини Давиденко, заява подана компанією QUERSUS INVESTMENTS LIMITED. Ця компанія була учасником угоди щодо забезпеченої позики для СП "Агродом".
У 2020 році 76% компанії СП "Агродом", що належить Валентині Давиденко, взяли під контроль структури та особи, пов'язані з Андрієм Веревським та агрохолдингом "Кернел". Це сталося одразу після трагічної загибелі народного депутата Валерія Давиденка, сина Валентини Давиденко.
Формальним приводом для переходу корпоративних прав до рук структур та осіб, пов'язаних з Веревським, стала технічна банківська затримка переказу коштів у рахунок оплати відсотків за договором поставки продукції СП "Агродом" компанією-нерезидентом на рахунок іншої компанії-нерезидента, що діє на користь "Кернел" .
Родина Давиденка у судах вимагає повернення прав на "Агродом". Валентина Давиденко домоглася судового рішення про визнання недійсними рішень єдиного учасника СП "Агродом", які призвели до переходу частини корпоративних прав на СП "Агродом" на користь осіб та компаній, яких з агрохолдингом "Кернел" та особисто з Андрієм Веревським. Історія та деталі конфлікту висвітлені у матеріалах сайту "Агробарон".
Кредиторські вимоги до власника "Кернел" були зареєстровані у Швейцарії, оскільки Веревський, ймовірно, має статус резидента Швейцарії та нерухомість у цій країні. Офіційну інформацію про кредиторські вимоги було передано Веревському та підконтрольній йому компанії через швейцарських приставів.
Тепер інформація про боргові зобов'язання у реєстрі може серйозно вплинути на статус та можливості Андрія Веревського у Швейцарії. Так, йому може бути відмовлено в отриманні кредитних коштів у разі надходження від нього відповідного запиту до банків цієї країни.
Також проблеми можуть виникнути у процесі підтвердження, продовження чи поновлення статусу резидента Швейцарії. Веревський може або отримати пряму відмову, або від нього вимагають обґрунтовано пояснити, чому він відмовляється платити за зареєстрованою вимогою.
Юристи також не виключають, що внесення кредиторських вимог до швейцарського реєстру може торкнутися основного бізнесу Веревського – агрохолдингу "Кернел", який має репутацію агресивного та скандального гравця на українському агроринку.
Як повідомлялось, партнер швейцарської компанії TA Advisory Олівер Чирич вважає: через невиплату боргу в 30 млн доларів "Кернел" може стати банкрутом. Чирич очікує, що ситуація із боргом вирішиться до кінця року.
Коментарі